2020年高考马上就要到来了,高考数学是很多学生的一个疑难杂症,虽然有的数学好的人考满分轻而易举,但是却又很多数学比较差的,成绩怎么都很难提高,数学虽然不像语文那样要记要背的东西很多,但是数学中的重点公式是千万要记住的,很多人数学不好的人就是因为公式不清楚,导致做题模棱两可,我们来看看高考数学有哪些重点公式?
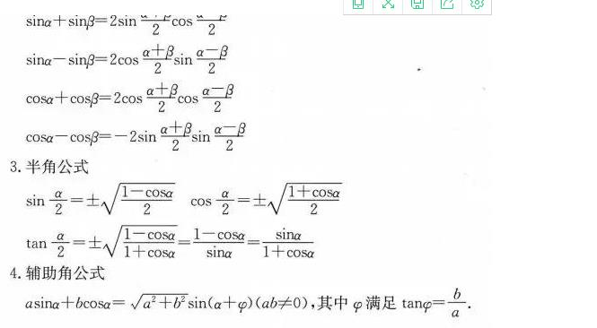
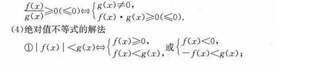
高中重点数学公式大全:










学好高中数学有哪些方法与技巧:
1:适当做题,但不要陷入题海战术:“学习有法,但无定法,贵在得法”,数学培养的是灵活运用和举一反三的能力,而不是培养书呆子,做数学题一定要独立思考,深入剖析题目。
2:做题之后加强反思:对于正确的题目可以一扫而过,但是对于做错的数学题目,一定要加以留心。俗话说:“有钱难买回头看”,著名思想家孔子曾经说过:“学而不思则罔思而不学则殆”,要把自己做过的每道题加以反思,总结一下自己的收获,可以把做错的数学用红笔标记,便于下一次复习。页可以做笔记,按照知识网络+知识点+基本题型的形式,便于知识的记忆。
3:注重熟悉基础知识:因为基础知识学得不好,数学思维没有培养出来,那么,如何做到对基础知识的完全把握呢?首先是运用教材,把相关概念、定义,公理、定理全部理清,并且做到精准记忆。第二就是移开课本,反复复习和回忆相关概念、定义,公理、定理,第三就是通过做题,把相关概念、定义,公理、定理运用到题目当中。
高中重点数学公式大全:











学好高中数学有哪些方法与技巧:
1:适当做题,但不要陷入题海战术:“学习有法,但无定法,贵在得法”,数学培养的是灵活运用和举一反三的能力,而不是培养书呆子,做数学题一定要独立思考,深入剖析题目。
2:做题之后加强反思:对于正确的题目可以一扫而过,但是对于做错的数学题目,一定要加以留心。俗话说:“有钱难买回头看”,著名思想家孔子曾经说过:“学而不思则罔思而不学则殆”,要把自己做过的每道题加以反思,总结一下自己的收获,可以把做错的数学用红笔标记,便于下一次复习。页可以做笔记,按照知识网络+知识点+基本题型的形式,便于知识的记忆。
3:注重熟悉基础知识:因为基础知识学得不好,数学思维没有培养出来,那么,如何做到对基础知识的完全把握呢?首先是运用教材,把相关概念、定义,公理、定理全部理清,并且做到精准记忆。第二就是移开课本,反复复习和回忆相关概念、定义,公理、定理,第三就是通过做题,把相关概念、定义,公理、定理运用到题目当中。